
X 2 X 1 0, , , , , , , 0, Example 10 - Solve x2 + x + 1 = 0 - Chapter 5 NCERT - Examples, www.teachoo.com, 945 x 945, jpeg, x2 solve chapter example, 20, x-2-x-1-0, KAMPION
WebWrite the factored form using these integers. Step 4. Replace all occurrences of with . Step 5. Rewrite as . Step 6. Since both terms are perfect squares, factor using the difference of squares formula, where and . Step 7. If any individual factor on the left side of the. WebFactoring Calculator. Enter the expression you want to factor in the editor. The Factoring Calculator transforms complex expressions into a product of simpler factors. It can factor. WebMore than just an online factoring calculator. Wolfram|Alpha is a great tool for factoring, expanding or simplifying polynomials. It also multiplies, divides and finds the greatest. WebMultiply together to get 4. Since 1 and 4 add up to 5 and multiply together to get 4, we can factor it like: (x+1) (x+4)
WebWhat is the completely factored form of x4 8x2 – 9? - 880352. Gerre6n9arockacie Gerre6n9arockacie 01/08/2016 Mathematics High School answered •. WebWhat is completely factored form of x^4+8x^2-9 Get the answers you need, now! adri52 adri52 10/27/2017 Mathematics High School answered What is completely. WebBy Rational Root Theorem, all rational roots of a polynomial are in the form \frac{p}{q}, where p divides the constant term 9 and q divides the leading coefficient 1. List all. WebAlgebra. Factor x^2+8x-9. x2 + 8x − 9 x 2 + 8 x - 9. Consider the form x2 + bx+c x 2 + b x + c. Find a pair of integers whose product is c c and whose sum is b b. In this case, whose. WebWhat is the completely factored form of x4 + 8x2 – 9? (x + 1)(x – 1)(x + 3)(x + 3) (x+1)(x+1)(x+3){x^2+9} (x2 – 1)(x + 3)(x – 3) (x + 1)(x + 1)(x + 3)(x ... WebWhat is the completely factored form of x4 8x2 – 9? The answer for X^4 + 8x^2 -9. is. (x+1) (x-1) (x^2+9) For this case we have the following polynomial: x4 +8x2 −9 x 4 + 8 x 2 − 9.. WebThe parts of the expression that result in 8x^2 in the expanded form. a*x^2 + b*x^2 = 8x^2. If you think about this, you know the a and b will = -1 and 9 because you. WebExplanation: first lets substitute x2 = t. we get t2 − 8 ⋅ t −9. now split the middle term t2 + t −9 ⋅ t − 9. factorize now t(t + 1) − 9(t +1) now we get (t +1)(t − 9) now. WebAlgebra. Factor x^4-81. x4 − 81 x 4 - 81. Rewrite x4 x 4 as (x2)2 ( x 2) 2. (x2)2 −81 ( x 2) 2 - 81. Rewrite 81 81 as 92 9 2. (x2)2 −92 ( x 2) 2 - 9 2. Since both terms are perfect.
What is the Completely Factored Form of 8×2 50

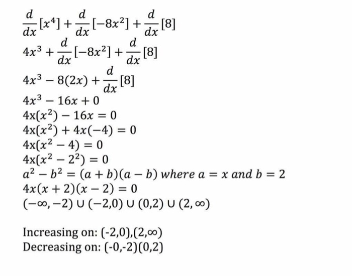
Solved: For F(x) = X4-8x2 + 8 A) B) Find The Intervals On | Chegg.com
PPT - 8-6 PowerPoint Presentation, free download - ID:659499

Factored Form - YouTube

Factored Form
What Is the Factored Form of 8x2 12x

Homework help idea! | ShadeCrest: A Gaming Community
Find the values of a and b so that x4+x3+8x2+ax+b is divisible by x2+1

Solved Consider the equation below. (If an answer does not | Chegg.com
intro to factored form - YouTube

Tidak ada komentar:
Posting Komentar