
X 2 X 1 0, , , , , , , 0, Example 10 - Solve x2 + x + 1 = 0 - Chapter 5 NCERT - Examples, www.teachoo.com, 945 x 945, jpeg, x2 solve chapter example, 20, x-2-x-1-0, KAMPION
WebAlgebra. Factor x^3-1. x3 − 1 x 3 - 1. Rewrite 1 1 as 13 1 3. x3 − 13 x 3 - 1 3. Since both terms are perfect cubes, factor using the difference of cubes formula, a3 −b3 = (a−b)(a2 + ab+b2) a 3 - b 3 = ( a - b) ( a 2 + a b + b 2) where a = x a = x and b = 1 b = 1. (x−1)(x2. WebFactoring Calculator. Step 1: Enter the expression you want to factor in the editor. The Factoring Calculator transforms complex expressions into a product of simpler factors. It. WebAdd a comment. 3. Taking the cubic root of both sides might yield more solutions than you expect. If you consider the equation x 2 = 1, then taking the squareroot.
Webx3-1=0 Three solutions were found : x = (-1-√-3)/2= (-1-i√ 3 )/2= -0.5000-0.8660i x = (-1+√-3)/2= (-1+i√ 3 )/2= -0.5000+0.8660i x = 1 Step by step solution : Step 1 :Trying to factor. WebAnswer (1 of 13): I will show you two fool-proof methods to factorise a cubic. You need to start with a factor. Webx3 +1 = x3 +13. The sum of cubes identity tells us that : a3 +b3 = (a +b)(a2 − ab + b2) Hence x3 +13 = (x +1)(x2 −(x ⋅ 1) +12) = (x +1)(x2 −x +1) Answer link. WebAnswer (1 of 8): y=(x+1)(x^2-x+1), y=(x-1)(x^2+x+1) in the factored forms PREMISES y=x^3+1 and y=x^3-1 in the factored forms CALCULATIONS/PROOFS y=x^3+1 and. WebFactor the expression x^3+1. Given a pair of cubes to factor: x^3+1, start by rewriting both terms to the cubic power. Now we proceed to factor the sum or difference of cubes using. WebBy the factor theorem, the fact that ( − 1) 3 + 1 = 0 implies x − ( − 1) = x + 1 is a factor. So try x 3 + 1 = ( x + 1) ( a x 2 + b x + c). We know a = 1 from the x 3 coefficient. WebExplanation: This is a difference of cubes. Differences of cubes can be factored as follows: a3 −b3 = (a −b)(a2 + ab + b2) In your situation, a = x and b = 1, since.
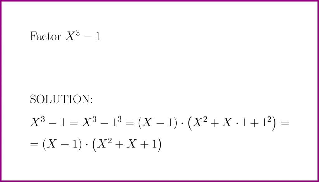
Factor X^3 – 1 (problem with solution) – LUNLUN.COM

How to Factor Sum of Cubes Special Binomial x^3 + 1 - YouTube

Factor Completely x^3+1 - YouTube

Factor 1 – X^3 (problem with solution) – LUNLUN.COM
How to factor the DIFFERENCE OF CUBES a Special Binomial - YouTube

3 Modi per Scomporre in Fattori le Equazioni Algebriche
2/27/12 Special Factoring - Sum & Difference of Two Cubes

Max Factor X 3 In 1 Foundation Golden 75 - Mountmellick Local Pharmacy

How To Factorise An Equation With X 3 - Tessshebaylo

Factorise fully x^3 -3x^2 -9x+27 and 3x^2 -13x -10 - YouTube

Tidak ada komentar:
Posting Komentar